Proflavine hemisulfate

Agent Name
Proflavine hemisulfate
CAS Number
1811-28-5
Formula
C13-H11-N3.1/2H2-O4-S
Major Category
Other Uses
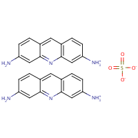
Proflavine hemisulfate formula graphical representation
Synonyms
3,6-Diaminoacridine hemisulfate; Acridine, 3,6-diamino-, sulfate (2:1); Proflavine hemisulphate; 3,6-Acridinediamine, sulfate (2:1); [ChemIDplus]
Category
Biocides/Disinfectants
Description
Hygroscopic powder; [Sigma-Aldrich MSDS]
Comments
Subcutaneous LD50 (mouse) = 200 mg/kg; [RTECS] An irritant; [Sigma-Aldrich MSDS] See "Proflavine."
Biomedical References

Adverse Effects

IARC Carcinogen
Not classifiable

Diseases, Processes, and Activities Linked to This Agent

Other Information
No other related information on this agent was found.